DeFi Стейблкоины

XRP и Cardano: Какая криптовалюта имеет больше шансов сделать миллионера?

DeFi Стейблкоины
Which Cryptocurrency Is More Likely to Be a Millionaire Maker? XRP vs. Cardano

Анализ преимуществ и перспектив XRP и Cardano на пути к потенциальному значительному росту и созданию миллионов для инвесторов.

Мир криптовалют продолжает привлекать внимание миллионов инвесторов, стремящихся увеличить свои капиталы за счет волатильности и инновационных технологий. Среди множества цифровых валют особое внимание вызывают XRP и Cardano — обе криптовалюты обладают уникальными характеристиками и конкурентными преимуществами. Однако возникает вполне закономерный вопрос: какая из них более вероятно станет источником значительной прибыли и сделает из инвестора миллионера? В этом материале мы подробно рассмотрим особенности, перспективы и факторы, влияющие на будущее обеих криптовалют. XRP, разработанная компанией Ripple, изначально предназначалась для оптимизации трансграничных платежей и банковских переводов. Ее главной задачей является упрощение и удешевление межбанковских расчетов, что делает ее привлекательной для финансовых учреждений по всему миру.

Благодаря высокой скорости транзакций и низким комиссиям, XRP способен конкурировать с традиционными системами денежных переводов, такими как SWIFT. Кроме того, Ripple активно заключает партнерства с крупными банками и платежными системами, увеличивая тем самым адаптацию своей технологии. С другой стороны, Cardano позиционируется как блокчейн третьего поколения, предлагая более экологичный, масштабируемый и безопасный протокол по сравнению с предыдущими проектами. Основанная на научных исследованиях и проверенных математических подходах, Cardano делает акцент на разработке децентрализованных приложений и смарт-контрактов с использованием собственной платформы. Ее архитектура разделена на слои, что обеспечивает высокую гибкость и легкость обновлений без сбоев.

Разработчики активно работают над развитием сети, реализуя концепции устойчивого роста и масштабирования. Рассматривая потенциал обеих криптовалют как «миллионера для инвесторов», стоит отметить, что их будущие достижения зависят от нескольких ключевых факторов. Первый из них — принятие и реальное применение. XRP уже существует в сфере банковских услуг, и это приносит стабильность и спрос на токен. Тем не менее юридические проблемы, например, судебные споры с Комиссией по ценным бумагам и биржам США (SEC), могут оказывать существенное влияние на курс и восприятие криптовалюты.

В случае успеха судебного процесса и признания XRP законным активом, курс может значительно вырасти, что откроет путь к большим прибылям для ранних инвесторов. Cardano отличается сильным сообществом разработчиков и последователей, поддерживающих идею децентрализованного будущего. Благодаря своей научной базе и инновациям, проект становится все более привлекательным для различных сфер, включая образование, государственные системы и финансовые сервисы. Значительный рост цены Cardano связан с успешной реализацией технологических обновлений и привлечением новых партнерств. Как следствие, долгосрочные инвесторы могут получить значительную отдачу, особенно если платформа удачно внедрится в ключевые отрасли экономики.

Важным аспектом является масштабируемость и скорость транзакций. XRP превосходит многие аналоги по скорости обработки платежей, что высоко ценится в бизнесе и банковской сфере. Cardano развивается с упором на безопасность и устойчивость сети, что критически важно для крупномасштабных децентрализованных приложений. Их способность конкурировать с традиционными финансовыми инструментами и централизованными сервисами является индикатором потенциала роста. Инвестиционная привлекательность обеих криптовалют также зависит от общей ситуации на рынке и принятия регулирующих рамок.

Регуляторная неопределенность способна вызвать резкие колебания стоимости токенов. Тем не менее долгосрочные тренды показывают, что проекты с крепкой технологической основой и активным развитием имеют более высокие шансы на успех. XRP и Cardano явно входят в число таких проектов, однако характеристики и риски существенно отличаются. Кроме того, стоит учитывать, что криптовалютный рынок непредсказуем. Высокая волатильность создает возможности для быстрого роста капитала, но и сопровождается высокими рисками потерь.

Выбор между XRP и Cardano зависит от инвестиционных целей, терпимости к риску и понимания особенностей каждого актива. Те, кто ищут более стабильный поток применения и признают риски, связанные с юридическими аспектами, могут склоняться к XRP. Инвесторы, заинтересованные в инновационных технологиях и диверсификации портфеля, могут предпочесть Cardano с его перспективами развития. Прежде чем принимать окончательное решение о вложении, рекомендуется внимательно изучить динамику рынка, ознакомиться с последними новостями по каждому проекту, а также учитывать рекомендации экспертов. Изучение технической документации и анализ партнерств поможет понять, какой из этих активов имеет больше шансов обеспечить долгосрочный рост.

В заключение, нельзя однозначно утверждать, что именно XRP или Cardano с большей вероятностью сделают миллионеров из своих держателей. Обе криптовалюты обладают сильными сторонами и потенциалом для существенного роста. XRP выигрывает благодаря реальным бизнес-применениям и уже имеющейся клиентской базе, в то время как Cardano предлагает инновационные технологические решения и стремится занять значимое место в будущем блокчейн-пространства. Ключ к успеху заключается в постоянном мониторинге их развития и адаптации к текущим рыночным и регуляторным условиям, что в итоге поможет инвесторам сделать правильный выбор на пути к финансовому благополучию.

Автоматическая торговля на криптовалютных биржах Покупайте и продавайте криптовалюты по лучшим курсам Privatejetfinder.com (RU)

Далее
Altcoins im Aufwind, Bitcoin-Marktanteil hat „noch nicht mal gezuckt“
Воскресенье, 02 Ноябрь 2025 Рост альткоинов: почему доля рынка Биткоина остается стабильной

Анализ текущих тенденций на криптовалютном рынке, в частности рост альткоинов на фоне стабильности доли Биткоина и факторы, влияющие на распределение капитализации.

Altseason bestätigt? Futures-Volumen auf Binance sorgt für Optimismus
Воскресенье, 02 Ноябрь 2025 Подтверждается ли Altseason? Объем фьючерсов на Binance вселяет оптимизм

Анализ тенденций на рынке криптовалют показывает рост интереса к альтернативным монетам благодаря увеличению объема фьючерсов на Binance. Эти данные вызывают позитивные ожидания относительно грядущего периода altseason и его влияния на рынок.

Crypto-Wallet erstellen: App vs. Hardware-Wallet? Vor-/Nachteile
Воскресенье, 02 Ноябрь 2025 Криптокошелек: приложение против аппаратного устройства - что выбрать?

Обзор ключевых отличий, плюсов и минусов приложений и аппаратных криптокошельков, а также советы по выбору и обеспечению безопасности цифровых активов.

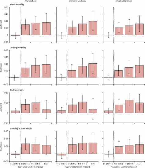
Effects of international sanctions on age-specific mortality
Воскресенье, 02 Ноябрь 2025 Влияние международных санкций на смертность в различных возрастных группах: глубокий анализ последствий

Международные санкции оказывают значительное влияние на здоровье населения в странах-мишенях, особенно сказываясь на показателях смертности среди разных возрастных категорий. Рассмотрены механизмы воздействия санкций и их последствия для уязвимых групп, таких как дети и пожилые люди.

Duct – A DOM first UI library
Воскресенье, 02 Ноябрь 2025 Duct UI: Прорыв в разработке интерфейсов для эпохи искусственного интеллекта

Обзор инновационной библиотеки Duct UI, ориентированной на прямое управление DOM и оптимизированной для совместной работы человека и искусственного интеллекта. Исследование возможностей библиотеки, статического генератора сайтов и особенностей, которые делают Duct идеальным выбором для современных разработчиков.

Show HN: TimeBasedLogger – Python Logger That Logs Based on Time
Воскресенье, 02 Ноябрь 2025 TimeBasedLogger: революция в логировании Python по временным интервалам

TimeBasedLogger – инновационный инструмент для эффективного логирования в Python, который обеспечивает запись сообщений на основе временных интервалов, повышая производительность и удобство работы с логами.

Palantir Stock Just Zoomed Past $150. My Prediction for What Comes Next
Воскресенье, 02 Ноябрь 2025 Взлёт акции Palantir выше $150: прогнозы и перспективы развития компании

Анализ стремительного роста акций Palantir, обзор ключевых факторов успеха компании и прогнозы дальнейшего развития с учётом текущих рыночных тенденций и технологических инноваций.